题目大意
你可以通过飞机传送到一个图中的任意一个点,你可以每次必须走两条边,然后又通过飞机传送到任意一个点,要求走过的边不重复。输出最多可走的次数以及方案。
初步想法
图不一定连通,那么我们对于每一个连通图进行处理。
定长路径统计:枚举中间点。
枚举中间点,我们就只需要考虑剩下的两条边。
简化问题,首先考虑一棵树的情况:
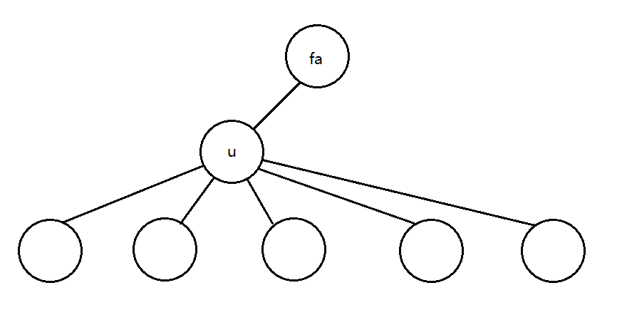
如果当前结点有偶数个子结点,那么为了让方案数最多,肯定两两配对。
如果是奇数个子结点,那么两两配对后就会剩下一个结点,我们把剩下的这个结点和$fa$结点配对即可,如图:
如果是一个图怎么办?
我们尽量地将图转化成树用刚才的方式处理,Tarjan不就是将图转化成树的算法?
借鉴Tarjan的思想,我们考虑有环的情况,边分为父子边和返祖边,父子边和树是一样的处理方法,返祖边呢,把返祖的祖先结点当作儿子结点处理即可,注意不能有二元环。
代码
最近学了一下C++11的黑科技语法,感觉代码简洁多了。1
2
3
4
5
6
7
8
9
10
11
12
13
14
15
16
17
18
19
20
21
22
23
24
25
26
27
28
29
30
31
32
33
34
35
36
37
38
39
40
41
42
43
44
45
46
47
48
49
50
51
52
53
54
55
56
57
58
59
60
61
62
63
64
65
66
using namespace std;
inline const int Get_Int() {
int num=0,bj=1;
char x=getchar();
while(x<'0'||x>'9') {
if(x=='-')bj=-1;
x=getchar();
}
while(x>='0'&&x<='9') {
num=num*10+x-'0';
x=getchar();
}
return num*bj;
}
const int maxn=200005;
int n,m,Depth[maxn],vst[maxn];
vector<int>edges[maxn];
void AddEdge(int x,int y) {
edges[x].push_back(y);
}
struct Answer {
int a,b,c;
Answer(int _a=0,int _b=0,int _c=0):a(_a),b(_b),c(_c) {}
};
vector<Answer>ans;
int Dfs(int Now,int father,int depth) {
Depth[Now]=depth;
vst[Now]=1;
vector<int>tmp;
for(auto &Next:edges[Now]) {
if(Next==father)continue;
if(vst[Next]) {
if(Depth[Next]<Depth[Now])tmp.push_back(Next); //返祖边
continue;
}
int extra=Dfs(Next,Now,depth+1);
if(extra!=-1)ans.push_back(Answer(Now,Next,extra));
else tmp.push_back(Next);
}
for(int i=0; i+1<tmp.size(); i+=2)ans.push_back(Answer(tmp[i],Now,tmp[i+1]));
if(tmp.size()&1)return tmp.back();
else return -1;
}
int main() {
n=Get_Int();
m=Get_Int();
for(int i=1; i<=m; i++) {
int x=Get_Int(),y=Get_Int();
AddEdge(x,y);
AddEdge(y,x);
}
for(int i=1; i<=n; i++)
if(!vst[i])Dfs(i,0,1);
printf("%d\n",ans.size());
for(auto &i:ans)printf("%d %d %d\n",i.a,i.b,i.c);
return 0;
}