题目大意

题目分析
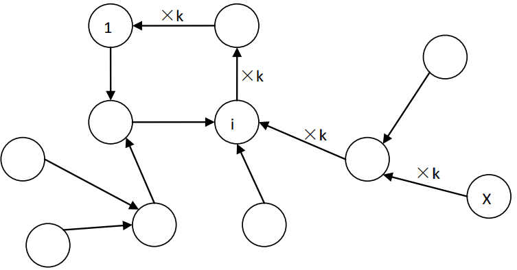
首先,对于以$i$为根的树,通过方程的迭代,发现$R(i)$等于$\sum_xC_xk^{d(x,i)}$,其中$d(x,i)$表示$x$与$i$间的距离。
考虑一个三元环:
带入消元可得$R(1)=\frac{C_1+kC_2+k^2C_3}{1-k^3}$。
因此可得,$R(1)=\frac{\sum_xC_xk^{d(x,1)}}{1-k^{len}}$,其中$len$是环长。

因此,每个点$x$对$1$的贡献为$C_xk^{d(x,i)}k^{d(i,1)}=C_xk^{d(x,1)}$。
因此,我们不需将环和树分开考虑,忽略$1$的出边,直接考虑$1$的所有子树信息。
枚举环长$len$,显然$len$不可能增加,因此分母一定,我们只需要将分子最大化即可。
故我们需要最大化$\sum_{i=1}^nC_ik^{d(i,1)}$。
显然对于每次修改,一定直接将$x$的后继设置为$1$。
设$f[i,j]$表示在点$i$的子树中分配$j$次修改所得到的最大贡献和。
考虑到若在$x$点更新$x$点所有儿子的代价,也就是考虑儿子对自己的影响(原理类似后序遍历),那么分为两种情况:
- 不修改$i$的后继,将$j$次修改分配到$i$子树中,再加上当前对$1$的贡献$C_ik^{d(i,1)}$。
- 若修改$i$的后继,假设$d(i,1)=tmp$,那么子树的所有贡献值需要除以$k^{tmp-1}$,但若儿子也修改过,就不能修改其贡献值。
转移过程似乎有了后效性?
考虑思考对未来的影响从而消除后效性。
不妨将每次祖先的决策放在后代考虑,即祖先对儿子的决策造成影响(原理类似先序遍历,当然实现形式还是后序遍历,此题若写成记忆化搜索将会非常的爽)。
设$f[i,j,d]$表示在$i$的子树中分配$j$次修改,且$i$到$1$的距离为$d$的最大贡献和。
因为已经知道祖先到$1$的距离,因此可以在儿子处计算出贡献。
令$g[i,j,d]=\max\lbrace f[i,j,d+1],f[i,j,1]\rbrace$,因此我们可以转移状态:
若不修改$i$的后继:$f[i,j,d]=\max\lbrace {\sum_{son}g[son,t,d]}\rbrace+C_ik^d$。
若修改$i$的后继:$f[i,j,1]=\max\lbrace {\sum_{son}g[son,t,1]}\rbrace+C_ik$。
这两个转移可以用背包完成。
最后我们得出$1$的所有儿子的状态,再用一次背包转移即可得出分子的最大值,除以枚举的分母即可统计答案。
代码
1 2 3 4 5 6 7 8 9 10 11 12 13 14 15 16 17 18 19 20 21 22 23 24 25 26 27 28 29 30 31 32 33 34 35 36 37 38 39 40 41 42 43 44 45 46 47 48 49 50 51 52 53 54 55 56 57 58 59 60 61 62 63 64 65 66 67 68 69 70 71 72 73 74 75 76 77 78 79 80 81 82 83 84 85 86 87 88 89 90 91 92 93
| #include<algorithm> #include<iostream> #include<iomanip> #include<cstring> #include<cstdlib> #include<climits> #include<vector> #include<cstdio> #include<cmath> #include<queue> using namespace std;
inline const int Get_Int() { int num=0,bj=1; char x=getchar(); while(x<'0'||x>'9') { if(x=='-')bj=-1; x=getchar(); } while(x>='0'&&x<='9') { num=num*10+x-'0'; x=getchar(); } return num*bj; }
const int maxn=65;
int n,m,suc[maxn]; double k,ans=0,c[maxn],f[maxn][maxn][maxn],g[maxn][maxn][maxn],h[maxn],Pow[maxn]; vector<int>edges[maxn];
void AddEdge(int x,int y) { edges[x].push_back(y); }
void TreeDp(int Now,int depth) { for(int Next=2; Next<=n; Next++) if(suc[Next]==Now) TreeDp(Next,depth+1); for(int d=min(2,depth); d<=depth; d++) { memset(h,0,sizeof(h)); for(int Next=2; Next<=n; Next++) if(suc[Next]==Now) for(int j=m; j>=0; j--) for(int k=j; k>=0; k--) h[j]=max(h[j],h[k]+g[Next][j-k][d]); for(int i=0; i<=m; i++) f[Now][i][d]=h[i]+c[Now]*Pow[d]; } if(depth>1) { memset(h,0,sizeof(h)); for(int Next=2; Next<=n; Next++) if(suc[Next]==Now) for(int j=m; j>=0; j--) for(int k=j; k>=0; k--) h[j]=max(h[j],h[k]+g[Next][j-k][1]); for(int i=1; i<=m; i++)f[Now][i][1]=h[i-1]+c[Now]*k; } for(int i=0; i<=m; i++) for(int d=0; d<depth; d++) g[Now][i][d]=max(f[Now][i][d+1],f[Now][i][1]); } int main() { n=Get_Int(); m=Get_Int(); scanf("%lf",&k); for(int i=1; i<=n; i++)suc[i]=Get_Int(); for(int i=1; i<=n; i++)scanf("%lf",&c[i]); Pow[0]=1; for(int i=1; i<=n; i++)Pow[i]=Pow[i-1]*k; for(int now=suc[1],len=2; now!=1; now=suc[now],len++) { int tmp=suc[now]; suc[now]=1; memset(f,0,sizeof(f)); memset(g,0,sizeof(g)); for(int root=1; root<=n; root++) if(suc[root]==1)TreeDp(root,1); memset(h,0,sizeof(h)); for(int root=1; root<=n; root++) if(suc[root]==1) for(int j=m; j>=0; j--) for(int k=j; k>=0; k--) h[j]=max(h[j],h[k]+f[root][j-k][1]); double Max=0; for(int i=0; i<m; i++)Max=max(Max,h[i]); if(tmp==1)Max=max(Max,h[m]); ans=max(ans,(Max+c[1])/(1.0-Pow[len])); suc[now]=tmp; } printf("%0.2lf",ans); return 0; }
|