在后缀家族(后缀树、后缀数组、后缀自动机、后缀平衡树、后缀仙人掌、后缀神域)中,后缀自动机可谓是应用最广的数据结构。
本篇文章基于Menci’s Blog并纠错、拓展与总结。
定义(们):
后缀自动机(SAM)包含两部分:有向无环单词图(DAWG)和前缀树。
SAM的每一个结点同时存在于这两个结构中。
我们对$S$构造SAM,称$S$是SAM的母串。
记$\left|S\right|$是字符串$S$的长度。
DAWG
DAWG是一个DAG图。
除起始结点外,每个结点代表的含义是能从起始结点到达它的所有子串。
结点间通过转移边相连,每条转移边上有一个字符。
从起始结点沿着转移边走,每条路径对应一个子串。(多条路径可能到达同一个结点)。
SAM可接受所有子串,若要使其仅能接受后缀则可通过打标记解决。
结点
每个结点所表示的所有字符串,一定是母串某个前缀的若干个(不是所有)长度只相差$1$的后缀(前缀+后缀=子串)。
结点$v$所表示的长度最小的子串、最大子串记作$min(v),max(v)$。
结点$v$所表示的最长子串$max(v)$在母串中所有出现的结束位置集合为$end$-$pos(v)$。
有性质:任意两个点的$end$-$pos$集合不同。(否则可合并)
转移边
$u$到$v$有一条字符为$c$的转移边,表示$u$所表示的所有子串加上$c$后得到的子串都可以用$v$表示。
但不一定$v$所表示的所有子串都是由$u$转移而来。
后缀链接与前缀树
$u$的后缀链接指向$v$,当且仅当$\left|min(u)\right|=\left|max(v)\right|+1$且$v$中的所有子串均为$u$中子串的后缀,记为$next(u)=v$。
注意这是定义而不是性质,至于为什么这样定义可以不管。
任意一个结点沿着后缀链接走,最终都会到达DAWG的起始结点,以后缀链接为边,所有结点构成一棵树,即前缀树。DAWG的起始结点即是前缀树的根。
理解
因为后缀自动机初学时难以理解,以上的定义不易深刻理解,因此在将后缀自动机的性质前先引入几个形象的解释。
关于结点
一般我们的结点仅仅表示一个信息,但思考一下如果这样,后缀自动机就需要$O(n^2)$的空间,难以接受。因此我们需要将不必分开的信息合并在一起,故每个结点就代表了多个信息。
每个结点表示的信息不会冲突(比如$end$-$pos$不可能不同),否则需要将它们拆开(这个后面再讲)。
这样的空间量是$O(n)$的,后面再证明。
关于DAWG
DAWG并不是后缀自动机上最重要的结构,它仅仅用有向图表示出所有存在的子串。
关于后缀链接与前缀树的祖先后代关系
每个结点代表了一些串,这些串的部分后缀是相同的。
结点$u$在前缀树上到根的路径构成了所有长度递减后缀公共的串。
其中每个结点$u$包含一些串($min(u)\rightarrow max(u)$)。
因此到根的路径上包含长度为$[1,\left|max(u)\right|]$的所有子串。
前缀树是后缀自动机最重要的结构,它有重要的性质,后缀自动机的大部分应用都是在前缀树上完成的。
作图
这是一个极为简单的SAM:
母串为$ABC$。
图中的黑色边是转移边,构成DAWG。
图中的红色边是后缀链接,构成前缀树。
图中的蓝色串为每个结点代表的所有子串。
不难发现这样的SAM是仅可接受母串所有子串并满足要求的。
这是一个较为复杂的SAM:
母串为$ABBD$。
不难发现这样的SAM是仅可接受母串所有子串并满足要求的。
暂不用思考其构建方法,我们后面再提到。
性质
性质一
每个结点$u$代表的串的长度是$(\left|max(next(u))\right|,\left|max(u)\right|]$。
即$\left|min(u)\right|=\left|max(next(u))\right|+1$。
证明:
因为结点到根的路径包含所有公共后缀的子串,因此显然。
性质二
每个结点$u$包含的所有串的$end$-$pos$均相同。
证明:
这不算一个性质,而算对结点定义中若干个子串的规定。
性质三
在前缀树中,每个结点的$end$-$pos$是其后缀链接的$end$-$pos$的真子集。
证明:
后缀链接所表示的所有串是当前结点表示所有串的后缀,因此其$end$-$pos$一定包含当前结点的$end$-$pos$。
又因为两个结点的$end$-$pos$集合不相等,否则可合并,因此成立。
性质四
后缀自动机的前缀树是原串的反向前缀树。
反向前缀树的定义是:将每个前缀的反串加入trie,并把没有分支的链合并。
那么如果我们将母串的反串建立SAM,它的前缀树即为原串的后缀树。
为了还原后缀树,我们可以求一下每个结点$u$对应的$max(u)$字符串,父子减一下即可得到边上的字符串。
将后缀树Dfs一遍即可得到后缀数组。
这就是后缀树和后缀数组的线性构造方法。
性质五
两个串的最长公共后缀,位于这两个串对应的结点在前缀树上的LCA位置。
理论构建方法
(Menci的博客里有个地方讲错了一点点,这里基本上从Menci博客搬运过来)
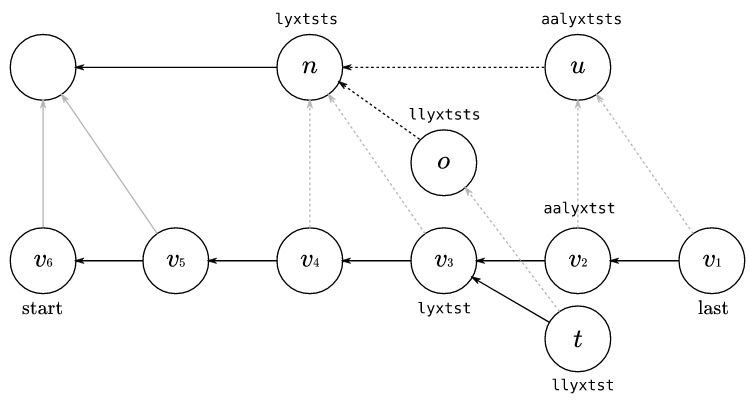
我们使用增量算法构造SAM,假设我们已经有了字符串$S$的SAM,只需要考虑如何对其修改得到$S+c$的后缀自动机。
设之前表示整个串的结点为$last$,灰边为转移边,黑边为后缀链接。
现在我们加入新字符$c$,所以$v_1,v_2$添加了新字符$c$后得到的字符串出现了,且他们是新母串的后缀。设它们被点$u$所表示,显然$max(u)=max(v_1)+c,min(u)=max(v_2)+c$。
长度为$\left|min(v_2)\right|+1\rightarrow\left|max(v_1)\right|+1$的以$c$为结尾的字符串均用$u$来表示,比$\left|min(v_2)\right|+1$更短的子串已用$d$在前缀树上到根的路径中结点表示。所以,DAWG的性质已满足,考虑前缀树。
1.若不存在$v_3$有字符$c$的转移边,则将$next(u)$置为$root$,此时$\left|min(u)\right|=1$。
2.若$max(d)=max(v_3)+c$。
$\because\left|max(d)\right|=\left|max(v_3)\right|+1,\left|min(u)\right|=\left|min(v_2)\right|+1,\left|max(v_3)\right|+1=\left|min(v_2)\right|$。
$\therefore\left|max(d)\right|+1=\left|min(v_2)\right|+1=\left|min(u)\right|$。
满足后缀链接的定义,因此$u$的后缀链接连向$d$。
3.若$max(d)\neq max(v_3)+c$。
$\because\left|max(d)\right|\gt\left|max(v_3)\right|+1,\left|min(u)\right|=\left|min(v_2)\right|+1,\left|max(v_3)\right|+1=\left|min(v_2)\right|$
$\therefore\left|min(u)\right|\lt \left|max(d)\right|+1$。
不满足后缀链接的定义,因此不能将$u$的后缀链接连向$d$。
此时一定有一个异于$v_i$的结点$t$,满足$next(t)=v_3$,且有$t\rightarrow d$的转移边。
此时$d$所代表的串中,既有$t$的子串$+c$得到的串,又含有$t$的后缀$v_3+c$得到的串,它们不全都是$u$的后缀。举个例子:
我们需要将$d$拆成两个点,一个点$n$表示长度小于等于$\left|max(v_3)\right|+1$的子串,用另一个点$o$表示长度更大的子串。
$v_3,v_4$的转移边连向$n$,其余后继连向$o$,$next(n)=next(d),next(o)=n,next(u)=n$。
不难发现这样的拆分满足要求。
实际构建方法
1.建立新结点,令$p=last$,并更新$last$。1
2int p=last,u=newnode(Max[last]+1);
last=u;
2.沿着前缀树寻找第一个没有该字符儿子的结点。1
for(; p&&!child[p][data]; p=next[p])child[p][data]=u;
3.情况一:寻找到根节点也无该儿子。1
if(!p)next[u]=root;
4.情况二:若满足理论构建中的第2种情况。1
2int old=child[p][data];
if(Max[old]==Max[p]+1)next[u]=old;
5.情况三:否则即为理论构建中的第3种情况,拆点并更新信息。1
2
3
4
5int New=newnode(Max[p]+1);
copy(child[old],child[old]+maxc,child[New]);
next[New]=next[old];
next[u]=next[old]=New;
for(; child[p][data]==old; p=next[p])child[p][data]=New;
全部代码1
2
3
4
5
6
7
8
9
10
11
12
13
14
15
16
17
18void insert(int data) {
int p=last,u=newnode(Max[last]+1);
last=u;
end_pos[u]=1;
for(; p&&!child[p][data]; p=next[p])child[p][data]=u;
if(!p)next[u]=root;
else {
int old=child[p][data];
if(Max[old]==Max[p]+1)next[u]=old;
else {
int New=newnode(Max[p]+1);
copy(child[old],child[old]+maxc,child[New]);
next[New]=next[old];
next[u]=next[old]=New;
for(; child[p][data]==old; p=next[p])child[p][data]=New;
}
}
}
复杂度证明
大字符集的处理
在字符集大小是常数的时候,后缀自动机时间复杂度是线性的。
如果字符集过大,可以开map存字符,复杂度增加$\log c$。
拓扑序
如果有一条转移边$u\rightarrow v$,则$\left|max(u)\right|\lt\left|max(v)\right|$。
如果有$next(v)=u$,则也有$\left|max(u)\right|\lt\left|max(v)\right|$。
所以,按照每个结点记录的$max$长度排序,可以同时得到DAWG和前缀树的拓扑序。
使用计数排序可以做到线性的时空复杂度。(对于$max$长度有相同的时候可能会不适用)
1 | void topsort() { |
$end$-$pos$集合
初始原串的前缀结点$end$-$pos$为$1$。
先求出拓扑序,沿着逆拓扑序递推即可求出$end$-$pos$集合大小。
若要求出$end$-$pos$集合,需要用到启发式合并Splay。
1 | void get_end_pos() { |
树上的扩展
我们可以把后缀自动机推广到树上的情况。
对于一个结点,我们从它的父亲对应的$last$开始插入新字符,此时有两种实现方法:
- 每次插入时$last$返回新结点的父亲的$last$,套用以前的插入。(这是正确的,但是因为$\left|max\right|$有重复,故不能计数排序计算拓扑序,只能宽搜)
- 每次插入时$last$返回新结点的父亲的$last$,将相同的转移合并起来。(时空间效率更高)
需要注意$end$-$pos$的维护,这里给出第二种方法的代码。1
2
3
4
5
6
7
8
9
10
11
12
13
14
15
16
17
18
19
20
21
22
23
24
25
26
27
28
29
30
31
32
33
34void insert(int data) {
if(child[last][data]) {
int p=last,old=child[last][data];
if(Max[old]==Max[p]+1) {
last=old;
end_pos[old]++;
} else {
int New=newnode(Max[p]+1);
last=New;
end_pos[New]=1;
copy(child[old],child[old]+maxc,child[New]);
next[New]=next[old];
next[old]=New;
for(; child[p][data]==old; p=next[p])child[p][data]=New;
}
} else {
int p=last,u=newnode(Max[last]+1);
last=u;
end_pos[u]=1;
for(; p&&!child[p][data]; p=next[p])child[p][data]=u;
if(!p)next[u]=root;
else {
int old=child[p][data];
if(Max[old]==Max[p]+1)next[u]=old;
else {
int New=newnode(Max[p]+1);
copy(child[old],child[old]+maxc,child[New]);
next[New]=next[old];
next[u]=next[old]=New;
for(; child[p][data]==old; p=next[p])child[p][data]=New;
}
}
}
}
应用
求两个串的LCS
解法一:
将其中一个串建成后缀自动机,另一个串放在自动机上运行,若匹配则匹配长度$len+1$,若不匹配则根据$max$长度重新计算匹配长度,答案即为匹配长度的最大值。
解法二:
将两个串用分隔符连接建立后缀自动机,将$A$串和$B$串前缀经过的结点分别标注出来,并将标记沿着前缀树传递,统计同时有两种标记的$max$长度即为LCS
求多个串的LCS
将其中一个串建为后缀自动机,其余的串在自动机上运行,记录每次运行每个结点得到的最长串长度,记录所有运行中最长串的最小值,再在最小值中找一个最大的记作答案。
注意每次运行结束更新最小值时需要按照逆拓扑序向后缀连接更新,因为儿子能匹配的祖先一定能匹配,但祖先在更新前不一定是最优答案。
求字符串最小表示
将串扩展一倍建立后缀自动机,从根开始一直沿着最小的转移边转移,转移$|S|$步后停止。
求长度为i的串的最大出现次数
求出$end$-$pos$集合,并用每个点$i$的$end$-$pos$集合更新其$f[\left|max(i)\right|]$(不可能将$[\left|min(i)\right|,\left|max(i)\right|]$全部更新,时间代价高),最后用$f[i+1]$更新$f[i]$(对于非同一结点,$i+1$的答案不可能比$i$的答案更优)。
求$k$小子串
数据结构上二分的思想:统计出从每个点出发还有多少种不同子串可以到达,即统计DAG上的$size$,再用检验每个儿子的排名确定走哪个儿子(类似平衡树)
动态维护$end$-$pos$大小
用LCT维护前缀树或用Splay维护前缀树Dfs序(ETT)。
求一个串本质不同的子串
每个自动机上的结点$u$对答案的贡献为$\left|max(u)\right|-\left|min(u)\right|+1$。
求A串的子串与B串的子串匹配的次数(都不计重复)
解法一:
对任意一个串(假设为$A$)建立AC自动机,将$B$串在自动机上运行,每运行到一个结点,代表B串的一段前缀,其祖先结点一定能被匹配,统计其祖先包含的所有串总数+$len-Max[next[u]]$($len$是匹配长度),并将祖先的串数量清空,当前串数量$-(len-Max[next[u]])$。(暴力$O(n\sqrt n)$,数据结构维护$O(n\log n)/O(n\log^2 n)$)
解法二:
将两个串用分隔符连接建立后缀自动机,将$A$串和$B$串前缀经过的结点分别标注出来,并将标记沿着前缀树传递,对于都有标记的点$u$累加$\left|max(u)\right|-\left|min(u)\right|$
求$A$串的子串与$B$串的子串匹配的次数(都计重复)
解法一:
对任意一个串(假设为A)统计$end$-$pos$集合大小,前缀树上每一个结点$u$包含的串的出现次数为$(\left|max(u)\right|-\left|min(u)\right|)\times end$-$pos[u]$。
因为若一个结点包含的所有串被匹配,则其前缀树上的祖先结点均可被匹配,因此对$(\left|max(u)\right|-\left|min(u)\right|)\times end$-$pos[u]$作前缀和。
将$B$串放到自动机上运行,每运行到一个结点,代表$B$串的一段前缀,找到所有可匹配的结点数:
其前缀树父亲以上结点一定被全部匹配,而当前结点只有一部分串被匹配,因此答案累加父亲的前缀和$+(len-Max[next[u]])\times end$-$pos[u]$($len$是匹配长度)
解法二:
将两个串用分隔符连接建立后缀自动机,将$A$串和$B$串前缀经过的结点分别标注出来,并将标记沿着前缀树传递,分别统计每个结点在两个串中所对应的$end$-$pos$,对于都有标记的点$u$累加$(\left|max(u)\right|-\left|min(u)\right|)\times end$-$pos-A[u]\times end$-$pos-B[u]$
求$A$串的子串在$B$串中出现的次数($A$计重复,$B$不计重复)
解法一:
将$B$串建成后缀自动机,将A串放到自动机上运行,若匹配就加上匹配长度$len$。
解法二:
将两个串用分隔符连接建立后缀自动机,将A串和B串前缀经过的结点分别标注出来,并将标记沿着前缀树传递,分别统计每个结点在$A$串中所对应的$end$-$pos$,对于都有标记的点$u$累加$(\left|max(u)\right|-\left|min(u)\right|)\times end$-$pos[u]$
求$A$串的子串在$B$串中的出现次数和($A$不计重复,$B$计重复)
解法一:
上一问交换$A$和$B$
解法二:
将两个串用分隔符连接建立后缀自动机,将$A$串和$B$串前缀经过的结点分别标注出来,并将标记沿着前缀树传递,分别统计每个结点在$B$串中所对应的$end$-$pos$,对于都有标记的点$u$累加$(\left|max(u)\right|-\left|min(u)\right|)\times end$-$pos[u]$。
参考资料
- 后缀自动机学习笔记 - Menci’s Blog
- 后缀自动机及其应用 - 张天扬
- Bill Yang后缀自动机笔记初稿